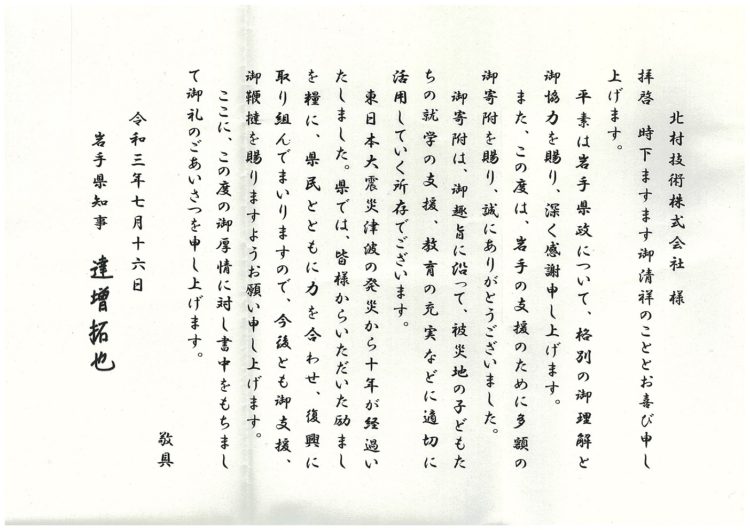
いわての学び希望基金

2021.09.08

ここ数日、一気に気温が下がり朝は寒く感じます宮城です🍁

からにあっという間に季節が変わって?

気温の変化が大きい今日この頃。

体調管理には十分お気を付けください。

さて、毎月ご紹介してますいわての学び希望基金

先月、更新が滞ってしまいました💦

北村技術で は継続して支援を行っています❕❕

そんな岩手のいわて復興だよりは岩手の今を知ることが出来ます🗾

 

 

 

 

 

 

 

 

 

 

 

コロナウイルスの蔓延で、全国各地

思うようにいかない日々が続いておりますがもう少し我慢我慢。

昨日は秋晴れの綺麗な空がキレイな一日でしたが

今日は午後から雨が降っています☔

気温の変化にご注意を。

 

業務内容
Business

お問い合わせ

お忙しい方の味方!迅速に対応します!

  • 0172-31-5655(弘前本社)
  • 0229-87-3955(宮城支店)